កម្ពុជា-ថៃឯកភាពគ្នាឱ្យមានបទឈប់បាញ់ជាបន្ទាន់ចាប់ពីម៉ោង ១២ ថ្ងៃត្រង់នេះ
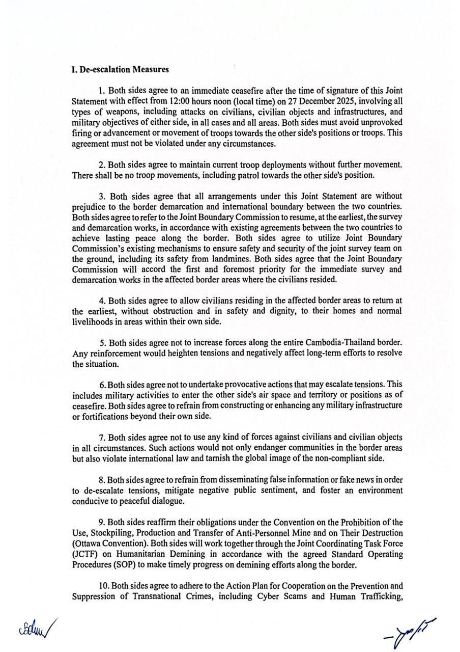
យោងតាមសេចក្ដីថ្លែងការណ៍រួមនៃកិច្ចប្រជុំពិសេសគណៈកម្មាធិការព្រំដែនទូទៅ (GBC) លើកទី៣ រវាងព្រះរាជាណាចក្រកម្ពុជា និងព្រះរាជាណាចក្រថៃ នៅច្រកព្រំដែនអន្តរជាតិព្រំ ខេត្តប៉ៃលិន ប្រទេសកម្ពុជា-បានផាកកាត ខេត្តចន្ទបុរី ប្រទេសថៃ នៅថ្ងៃទី២៧ ធ្នូ ២០២៥ បានឱ្យដឹងថា កម្ពុជា-ថៃបានឯកភាពគ្នាលើបទឈប់បាញ់ជាបន្ទាន់ ក្រោយការចុះហត្ថលេខាលើសេចក្តីប្រកាសរួមនេះ គិតចាប់ពីម៉ោង១២:០០ ថ្ងៃត្រង់ ថ្ងៃទី២៧ ខែធ្នូ ឆ្នាំ២០២៥ ពាក់ព័ន្ធនឹងការប្រើប្រាស់អាវុធគ្រប់ប្រភេទ ក្នុងគ្រប់ករណី និងនៅគ្រប់តំបន់ ដោយរាប់បញ្ចូលទាំងការវាយប្រហារលើជនស៊ីវិល គោលដៅនិងហេដ្ឋារចនាសម្ព័ន្ធស៊ីវិល និងកម្មវត្ថុ ខាងយោធារបស់ភាគីម្ខាងទៀត។
ភាគីទាំងពីរត្រូវជៀសវាងការផ្ទុះអាវុធដោយគ្មានមូលហេតុ ឬ ធ្វើសកម្មភាពរុលទៅមុខ ឬ ចល័តកម្លាំងទៅលើទីតាំង ឬ កងកម្លាំងរបស់ភាគីម្ខាងទៀត។ ទោះស្ថិតក្នុងកាលៈទេសៈណាក៏ដោយ ភាគីទាំងពីរមិនត្រូវបំពានកិច្ចព្រមព្រៀងនេះជាដាច់ខាត។
សូមអានសេចក្តីថ្លែងការណ៍រួមនៃកិច្ចប្រជុំពិសេសគណៈកម្មាធិការព្រំដែនទូទៅ (GBC) លើកទី៣ ដូចខាងក្រោម៖




